Publication Alert: Continuing declines in wild bee body sizes
Centris pallida male bees fighting; photo credit to Bruce Taubert
Continuing declines in Centris pallida (Hymenoptera: Apidae) male head width in 2025 (Barrett et al. 2025; Journal of Insects as Food and Feed)
During my dissertation, I studied male Sonoran desert bees known as ‘Centris pallida’. These bees have been a long-time study system of behavioral and physiological researchers as a result of the ‘Alternative Reproductive Tactics’ the males have. “Large-morph” males have bigger head widths, pale body coloration, and engaging in patrolling flights and fights to access mates. They tend to have (at least at the aggregation that’s been studied since 1974) a fitness advantage over “Small-morph” males, which have smaller head widths, brown body coloration, and hover at vegetation to find females (largely staying out of the fights).
As I collected males myself in the field in 2018 - 2022, and took head widths to conclusively establish the ‘morph’ that each male belonged to, I noted something odd. The head widths for both large and small males seemed consistently smaller than those reported in the original 1974 paper. When I plotted all the papers I could find on the species over time, I noticed a trend: heads were becoming smaller for both morphs over time. I documented this trend in a 2022 paper with Meredith Johnson.
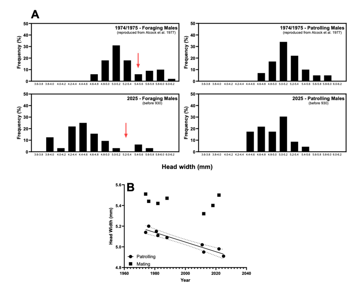
Head widths of patrolling and foraging males (representing the ‘large-morph’ total population and the all-males total population) decline significantly between 1974 and 2022; mating male head widths are constant, demonstrating a continued largest-male fitness advantage. Barrett and Johnson, 2022.
I resolved to continue returning to the same population of bees every few years with the goal of continuing to collect a long-term ecological dataset on these bees, monitoring body size over time. When I returned in 2025, however, what I found was shocking as someone with nearly a decade of C. pallida experience (and to Dr. Steve Buchmann, with more than five decades of C. pallida experience at this site). We found less than 0.1% of the typical population in abundance - and some of the smallest males ever recorded at the site by a substantial margin.
Continuing declines in male head width in 2025. Barrett, 2025
The results were sufficiently strange as to be worth documenting and corroborate the trend observed in 2022. We believe that the reduced abundance may be caused by an especially dry year prior to the 2025 emergence, which may result in bees waiting to emerge until there’s better climate conditions. Floral resources were almost non-existent at the 2025 field site, suggesting bees would be benefited by a ‘wait to emerge’ strategy if they are able to delay emergence until a better year with more rainfall and, thereby, food. Tracking emergence in 2026 will shed some light on if the bees are able to use this strategy at the site.
These data echo worrying trends in many insect populations around the world, declining in abundance but also (for many but not all species) declining in body size over time.
Want to read more news from the lab?

